Skip to content Skip to sidebar Skip to footer

Operaciones Combinadas Con Fracciones

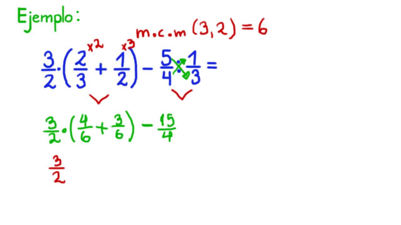
Operaciones Combinadas Con Fracciones. Las diferentes operaciones van a estar mezcladas, o mejor. En este caso, incluyen sumas, restas, multiplicaciones y divisiones. Suma, resta, multiplicación, división y simplificación. A) el resultado de calcular y simplificar la siguiente operación con fracciones es:

Actividad de Operaciones combinadas con fracciones
Actividad de Operaciones combinadas con fracciones from es.liveworksheets.com

Ejercicio resuelto multiplicación y división de fracciones ver solución Ejercicios resueltos de operaciones combinadas de fracciones. Buscando en internet he encontrado unos videos en los que se explica paso a paso cómo operar con fracciones, lo explican muy detenidamente, accede a ellos y observa con detenimiento cómo resuelve los ejercicios y pasa los ejercicios de los vídeos a un cuaderno que me tendrás que mostrar.

• En Operaciones Combinadas Sin Signos De Agrupación Primero Se Resuelve Las Multiplicaciones Y Divisiones, Luego Las Adiciones Y Sustracciones, En El Orden En Que Se Presentan De Izquierda A Derecha.


En este caso, incluyen sumas, restas, multiplicaciones y divisiones. Ejercicios operaciones combinadas fracciones 2 eso pdf con soluciones. Para resolver problemas hay que leer bien el enunciado hasta enterarnos de lo que nos pide. En este caso, con las operaciones combinadas con fracciones, vamos a tener que sumar, restar, multiplicar o dividir las fracciones en la misma expresión.

Y Por Otro Lado, Puedes Restar Fracciones Con Distinto Denominador Con El Mínimo Común Múltiplo Al Igual Que Hemos Realizado Con La Suma.


Puedes hacer los ejercicios online o descargar la ficha como pdf. Ejercicios resueltos de operaciones combinadas de fracciones. Cómo multiplicar fracciones paso a paso. Cuando el pantano esta lleno, contiene 90 + 60 = 150 hl.

Además De Ello, Incluyen Operaciones Con Paréntesis, Por Lo Que Aquí Es Necesario Aplicar El Orden O Jerarquía Establecida A La Hora De Resolver Estas Operaciones:


Ejercicio interactivo de operaciones combinadas con fracciones para 2º eso. 20 ordenación de fracciones 23 reducción de fracciones a común. Ejercicios operaciones combinadas con fracciones 2 eso pdf con soluciones. El siguiente recuadro muestra la jerarquía cuando se tiene las cuatro operaciones básicas y signos de agrupación.

Cálculo 6º De Primaria Por Osasuna:


Las siguientes fichas nos muestran unas operaciones combinadas algo más complicadas. Pasos a seguir para resolver operaciones con fracciones. Multiplicación y división de fracciones. 4/8 x 15/9 = 2×2.

Post a Comment for "Operaciones Combinadas Con Fracciones"